Witam
Może się komuś jeszcze przyda.
Dany jest stożek ścięty. Promień dolnej podstawy wynosi r1, górnej r2, wysokość stożka
wynosi h.
Zadanie polega na narysowaniu powierzchni bocznej stożka, tak aby po zwinięciu otrzymać
zadany stożek.
Powierzchnia boczna stożka ściętego, w rozwinięciu, to wycinek kąta utworzony przez dwa łuki
o środkach w wierzchołku kąta.
Jak widać potrzebny jest nam kąt i dwa promienie.
Z podobieństwa trójkątów AFC i BDC mamy
h / ( r1 – r2 ) = CD /r2 stąd :
CD = h * r2 / ( r1 –r2)
Ponieważ CF = CD + h, to z twierdzenia Pitagorasa wyznaczymy łacno AC, które jest
większym promieniem :
AC = pierwiastek kwadratowy ( r1 * r1 + CF * CF )
Podobnie wyznaczymy BC.
BC = pierwiastek kwadratowy( r2 * r2 + CD * CD ).
Mamy dwa promienie. Pora na kąt.
Kąt a wycina z okręgu o promieniu AC łuk o długości 2 * pi * r1 bo tyle wynosi obwód
dolnej podstawy.
Kąt a tak się ma do 360 stopni jak 2 * pi * r1 do 2 * pi * AC :
a/360 = 2 * pi * r1 / (2 * pi * AC )
a/360 = r1 /AC
a = 360 * r1 / AC.
Kąt łatwo odmierzymy se kątomierzem lub kontomierzem, w zależności od tego co
kto tam w domu ma.
Aby obliczenia były poprawne, to wszystkie długości muszą być podane w tych samych
jednostkach, na ten przykład w milimetrach.
Sklejenie stożka będzie możliwe WYŁĄCZNIE wtedy, gdy sobie zostawimy zakładki
na klej.
Z ukłonami
Andrzej Korycki
Tajemnica stożka ściętego
- Andrzej1
- Posty: 1568
- Rejestracja: 04 gru 2010, 21:56
- Lokalizacja: {"name":"Polska Szczecin","desc":"","lat":"","lng":""}
Tajemnica stożka ściętego
Ostatnio zmieniony 07 gru 2011, 15:11 przez Andrzej1, łącznie zmieniany 2 razy.
- Romanov
- Posty: 209
- Rejestracja: 04 gru 2010, 21:56
Re: Tajemnica stożka ściętego
Andrzeju zlituj się tyle liczenia toż to prawie astronomia !
A tak na poważnie to bardzo przydatne info.
I tutaj do młodych adeptów sztuki modelarskiej : wiem że wiekszość w szkole matematykę uważa za zło konieczne a tu jest własnie przykład zastosowania tego przedmiotu w praktyce.
Gratuluje pomysłu Andrzeju !
A tak na poważnie to bardzo przydatne info.
I tutaj do młodych adeptów sztuki modelarskiej : wiem że wiekszość w szkole matematykę uważa za zło konieczne a tu jest własnie przykład zastosowania tego przedmiotu w praktyce.
Gratuluje pomysłu Andrzeju !
DKM "Wodnik" www.rcmodel.com.pl
- Andrzej1
- Posty: 1568
- Rejestracja: 04 gru 2010, 21:56
- Lokalizacja: {"name":"Polska Szczecin","desc":"","lat":"","lng":""}
Re: Tajemnica stożka ściętego
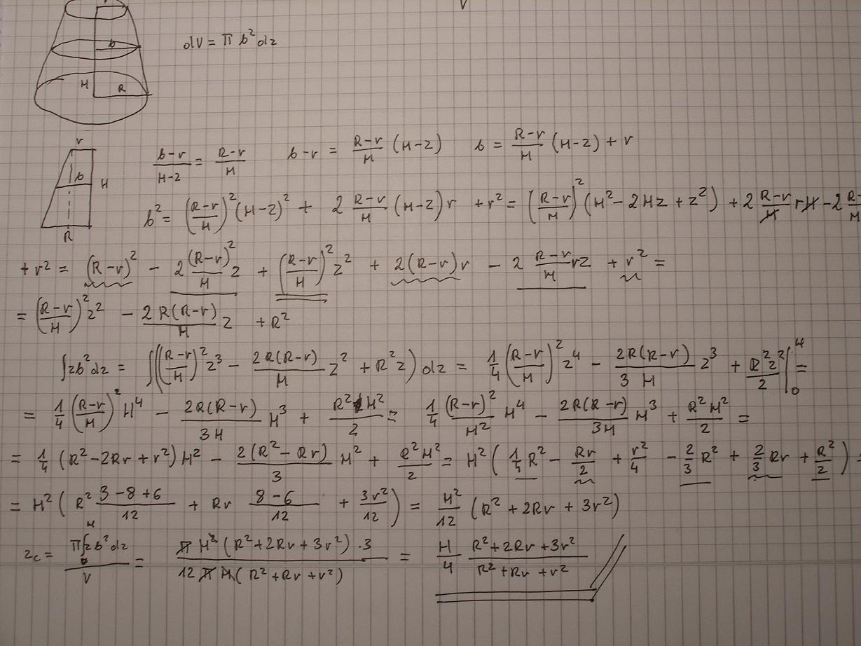
To dodam jeszcze wyprowadzenie wzoru na położenie środka ciężkości stożka ściętego.
Kiedy szukałem w internecie to znalazłem wzory z błędami. Ten jest poprawny.
Było w relacji o SSN 688 ale znaleźć to trudno.
Z ukłonami
Andrzej Korycki
Kiedy szukałem w internecie to znalazłem wzory z błędami. Ten jest poprawny.
Było w relacji o SSN 688 ale znaleźć to trudno.
Z ukłonami
Andrzej Korycki
- ryszardb
- Posty: 179
- Rejestracja: 12 lip 2011, 11:36
- Lokalizacja: {"name":"Polska Gda\u0144sk","desc":"","lat":"","lng":""}
Re: Tajemnica stożka ściętego
To i ja dorzucę swoje trzy grosze - w książce J. Szarejko "Poradnik ślusarza okrętowego" znalazłem coś też przydatnego



- jeskom
- Posty: 269
- Rejestracja: 26 paź 2011, 23:07
Re: Tajemnica stożka ściętego
zawsze lubiłem matematykę i algebrę...eh...jak miło przypomnieć sobie czasy szkolne
...powodzenia dla tych co nie skumali hehe 
- bltazar
- Posty: 8
- Rejestracja: 04 gru 2010, 21:56
Re: Tajemnica stożka ściętego
Tak na zdrowy chłopski rozum wystarczy cyrkiel i znać promień podstawy + wysokość stożka, który chcemy zrobić. Specjalnie dużo obliczeń nie trzeba robić. W sumie aż jedno;]
Stożki to chyba w geometrii a nie algebrze przynajmniej taki mnie uczono na geometrii wykreślnej ;]
Panie Andrzeju mógłby Pan podać jeszcze przy obliczaniu środka ciężkości obliczenia błędu?
Pozdrwiam
Stożki to chyba w geometrii a nie algebrze przynajmniej taki mnie uczono na geometrii wykreślnej ;]
Panie Andrzeju mógłby Pan podać jeszcze przy obliczaniu środka ciężkości obliczenia błędu?
Pozdrwiam
- Andrzej1
- Posty: 1568
- Rejestracja: 04 gru 2010, 21:56
- Lokalizacja: {"name":"Polska Szczecin","desc":"","lat":"","lng":""}
Re: Tajemnica stożka ściętego
bltazar pisze:...
Panie Andrzeju mógłby Pan podać jeszcze przy obliczaniu środka ciężkości obliczenia błędu?
Pozdrwiam
Moje obliczenia nie zawierają błędu, a przynajmniej tak mi się wydaje. Gdy r=0 to wzór daje
środek cięzkości stożka, a gdy r=R to walca. Wydaje mi się to dostateczną weryfikacją
prawidłowości wzoru.
A może nie zrozumiałem prośby (pytania) ?
Z ukłonami
Andrzej Korycki
- bltazar
- Posty: 8
- Rejestracja: 04 gru 2010, 21:56
Re: Tajemnica stożka ściętego
Obliczenia są poprawne ale chodzi mi o to że przy obliczeniach często trzeba zaokrąglić wynik i wtedy oblicza sie dodatkowo błąd przybliżenia, bezwzględny i względny to takie skrzywienie zawodowe ;]
- Andrzej1
- Posty: 1568
- Rejestracja: 04 gru 2010, 21:56
- Lokalizacja: {"name":"Polska Szczecin","desc":"","lat":"","lng":""}
Re: Tajemnica stożka ściętego
bltazar pisze:Obliczenia są poprawne ale chodzi mi o to że przy obliczeniach często trzeba zaokrąglić wynik i wtedy oblicza sie dodatkowo błąd przybliżenia, bezwzględny i względny to takie skrzywienie zawodowe ;]
No, tu żeś Waść deczko przesadził. Wzory matematyczne pozwalają na przeprowadzenie dowolnie
dokładnych obliczeń. A to, jak kto sobie to obetnie, czy zaokrągli, to Jego prywatna sprawa.
Będzie miał błąd (względny, bezwzględny, statystyczny, systematyczny, czy inny) stosowny
do obcięcia lub zaokrąglenia. Na potrzeby detalu, który miał być wykonany, żadne tego rodzaju
obliczenia nie były potrzebne czego dowodem jest sam śliczny detal :
viewtopic.php?p=51931#p51931
Z ukłonami
Andrzej Korycki
- Banita
- Posty: 58
- Rejestracja: 15 lip 2011, 15:36
Re: Tajemnica stożka ściętego
jednak prawda jest taka, że niektórych rzeczy nie da się obliczyć dokładnie, gdyż zawarte w nich stałe nie są wyliczone (i może nie mogą być) do końca, co daje margines błędu, ale ja się nie znam
temat ciekawy (dla teoretyków?)
temat ciekawy (dla teoretyków?)